
WebSolving equation 1 and equation 2 we get a=1/3 and u=35/30. Now distance in 10 second is S 1=10u+100a/2=10u+50a. So distance between t=8s and t=10s i.e. distance in last two. WebWe need to do this in a girl first. So we say all right, let's plug it in. Our velocity is the integral of to T minus 10. As if where t is our into grand variable. If you integrate this, you get that.
A Particle Travels 10m In First 5 Sec, A particle travels 10m in first 5 sec and 10 m in next 3 sec. Assuming constant acceleration what is, 6.55 MB, 04:46, 10,050, Doubtnut, 2020-07-26T07:28:47.000000Z, 19, A particle covers 10m in first 5 sec and 10m in next 3 sec. Assuming, www.doubtnut.com, 1200 x 677, png, , 20, a-particle-travels-10m-in-first-5-sec, KAMPION
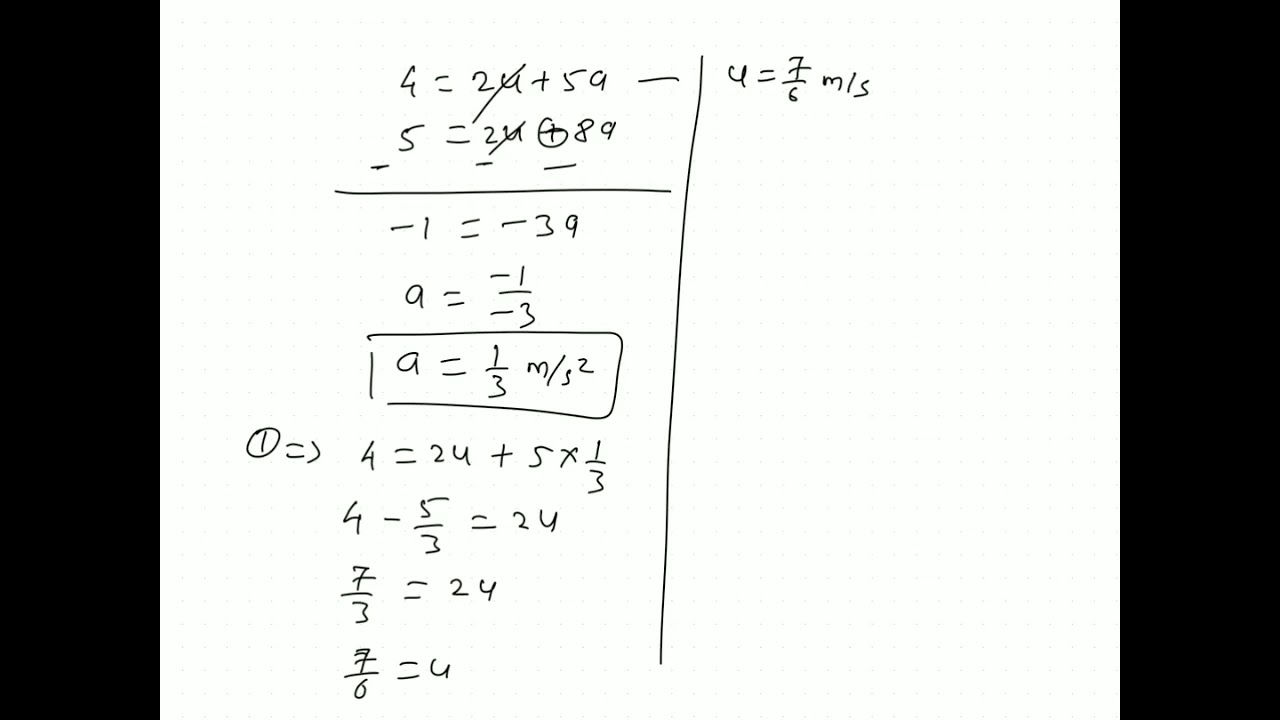
WebParticle travels 10m in 5sec and 10m in 3sec assuming constant acceleration what is the distance travelled in next 2sec? Ans:8.3m WebA particle travels 10m in first 5 sec and 10m in the next 3 sec. Assuming constant acceleration what is the distance travelled in next 2 sec ? (1) 8.3 m (2) 9.3 m (3) 10.3 m. WebNote – Whenever we face such types of questions the key concept is equation of second law of motion so just substitute the given values in this equation for. WebSo given time = 5 sec distance = 10 m so speed = 2m/s and again time = 8 sec distance = 20 m so speed = 20/8 m/s so using v = u + at 20/7 = 2 + 8a a = 6/ 64 m/s² so int time 10. WebFor first 5 sec motion s5 = 10 metre. s =ut+ 1 2at2 ⇒ 10= 5u+ 1 2a(5)2. 2u+5a =4.....(i) For first 8 sec of motion s8 = 20 metre. 20 =8u+ 1 2a(8)2 ⇒2u+8a =5.....(ii) By solving u= 7. WebIn the given question, we have a particle which travels \[10m\]in first\[5sec\].So for finding initial velocity, we can apply a second equation of motion,. WebQ: A particle travels 10m in 3 seconds and 14m in 5 seconds. What is the initial velocity and acceleration, and the distance travelled in 9 seconds? A: Kinematic equations - choose.
Videos A particle travels 10m in first 5 sec and 10 m in next 3 sec. Assuming constant acceleration what is trending
Reviews A particle travels 10m in first 5 sec and 10m in next 3 sec. Assuming constant acceleration what is viral
More about A Particle Travels 10m In First 5 Sec latest
A particle travels 10m in first 5 sec and 10 m in next 3 sec. Assuming constant acceleration what is the distance travelled in next 2 sec.
Here A particle covers 10m in first 5 sec and 10m in next 3 sec. Assuming viral

Here A particle travels 10 m in the first 5 sec and 10 m in the next 3 sec

Articles A particle travels 10m in first 5 sec and 10m in next 3 sec. Assuming

Must see A particle moving rectilinearly with constant acceleration is having trending

Here A particle travels 10 m in first 5 seconds and 10 m in next 3 seconds

A particle moves according to the equation x = 5t^2 + 2t + 5 where x is popular

Watch A particle covers 10m in first 5s and 10m in next 3s. Assuming constant Latest

A Particle travels 50 m towards north, thentravels 30 m towards east more

Articles (A) 4 mg (B) 2 mg (c) žmg (D) ſ mg 40. A particle mo... - Physics

New A particle moving with a uniform acceleration travels 24 m and 64 m in



Belum ada tanggapan untuk "Topics A Particle Travels 10m In First 5 Sec Ideas"
Posting Komentar