
WebIf the polynomial x 4 − 6 x 3 + 16 x 2 − 25 x + 10 is divided by another polynomial x 2 − 2 x + k, theremainder is x + a, find k and a. My Attempt, f ( x) = x 4 − 6 x 3 + 16 x 2 − 25 x +. WebAnswer (1 of 3): x^4–6x^3+16x^2–25x+10 =x^2(x^2–2x+k)+2x^3-kx^2–6x^3+16x^2–25x+10. =x^2(x^2–2x+k)-4x^3+(16-k).x^2–25x+10. =x^2(x^2–2x+k). Web10∣x − 3∣ > 40. a3b2,7ac4,14b2c3. −2x − 14 = −2. x + 3y + 71 +∣x + 7y + 19∣ = 0. limx→0 (xx) 2cos2θ + 1 = 0. (x − 5)2 − 9 = 0. b2 − 4b + 4 = 0. α3 + β 3 +γ 3 =.
X 4 6x 3 16x 2 25x 10, If the polynomial f(x)=x^4-6x^3+16x^2-25x+10 is divided by another polynomial x^2-2x+k, the..., 11.35 MB, 08:16, 1,708, Math By CV Sir, 2022-05-27T14:59:19.000000Z, 19, If the polynomial x4 – 6x3 + 16x2 – 25x + 10 is divided by another, www.zigya.com, 542 x 330, png, 2x 16x 6x x4 6x3 polynomials polynomial 25x divided x2 find 16x2 another if 26x, 20, x-4-6x-3-16x-2-25x-10, KAMPION
WebIf the polynomial x^4-6x^3-16x^2+25x+10 is divided by another polynomial x^2-2x+k, the remainder comes out to be x+a, find k and a. It is not +16x^2. You may think like that.. WebCalcul de primitive en ligne : primitive. Le calculateur de primitives permet de calculer en ligne une primitive de fonction avec le détail et les étapes de calcul. Limite d'une fonction. Web小数を含む方程式の解法は、解説2の解法の他に、両辺を10倍、100倍して小数を整数に直してから解を. 求める解法がある。. 分数も最初に通分して、分母を取り払う解法があ. WebIt's not the same anymore with our Math Calculator a one-stop destination for all your tough and complex math problems. Save your time while doing the lengthy calculations and. WebIl est possible de le formuler autrement: Si la somme des coefficients est nulle les racines sont 1 et c (cas où a = 1) En effet: 1² + b .1 + c = 0. 1 + b + c = 0. Cas général (a 0) Si a +. WebIf the polynomial x^4 - 6x^3 + 16x^2 - 25x + 10 is divided by another polynomial x^2 - 2x + k , the remainder comes out to be x + a, find k and a. Click here👆to get an answer to your. WebSee a solution process below: Explanation: First, remove the terms in parenthesis on the right side of the equation being careful to manage the signs of the individual terms.
Look If the polynomial f(x)=x^4-6x^3+16x^2-25x+10 is divided by another polynomial x^2-2x+k, the... viral
Latest If the polynomial x4 – 6x3 + 16x2 – 25x + 10 is divided by another polynomial x2 – 2x + k, New
X 4 6x 3 16x 2 25x 10 latest
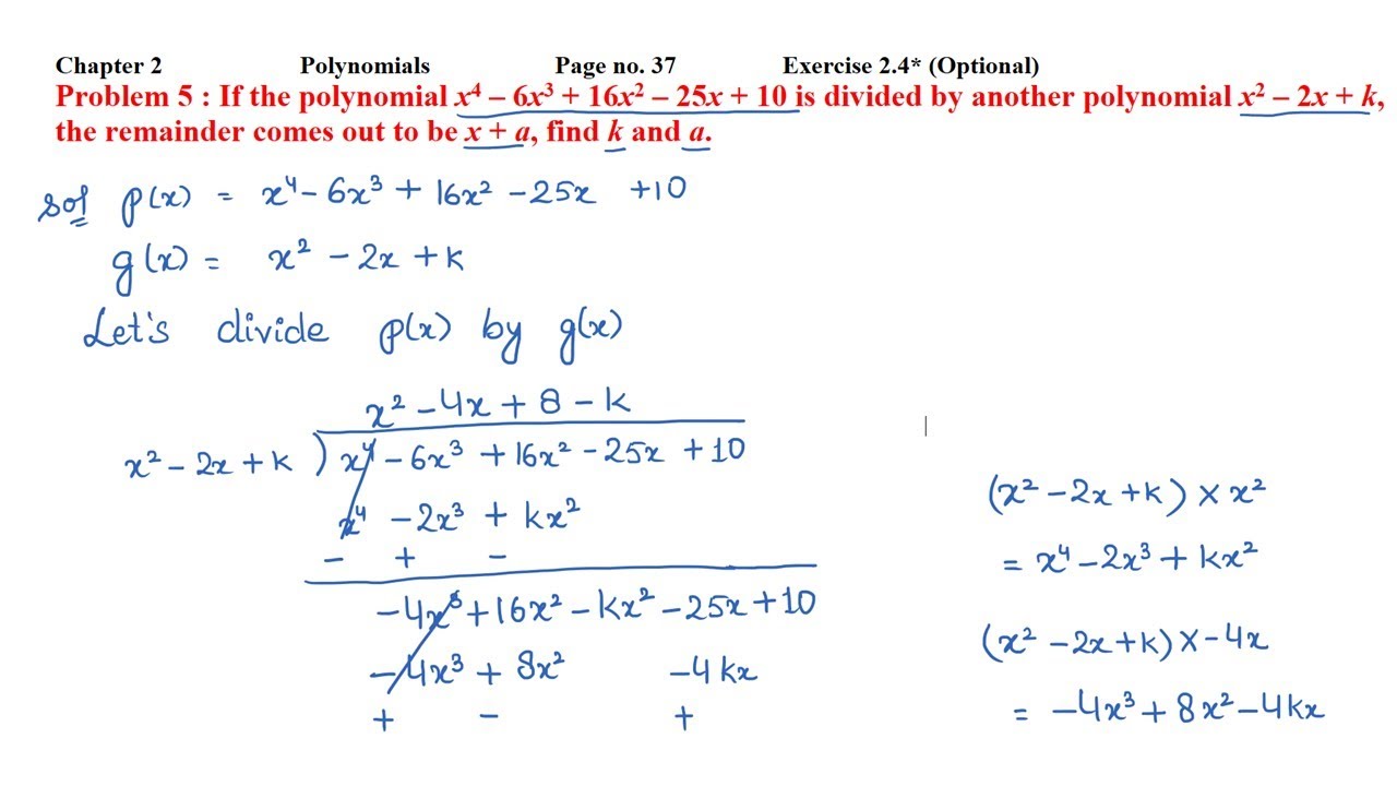
If the polynomial f(x)=x^4-6x^3+16x^2-25x+10 is divided by another polynomial x^2-2x+k, the remainder comes out to be x+a, find k and a.
Photos If the polynomial x4 – 6x3 + 16x2 – 25x + 10 is divided by another updated

Images If the polynomial x4 - 6x3 + 16x2 - 25x + 10 is divided by another

Images If the polynomial x^4 – 6x^3 + 16x^2 – 25x + 10 is divided by another
Watch If the polynomial [math]x^4-6x^3-16x^2+25x+10 [/math] is divided by
Must see If the polynomial x^4 - 6x^3 + 16x^2 - 25x + 10 is divided by another trending

Reviews If the polynomial x^4 - 6x^3 + 16x^2 - 25x + 10 is divided by another Latest

Subject if the polynomial x4-6x3+16x2-25x+10 is divided by another polynomial popular

View If the polynomial x^4 - 6x^3 + 16x^2 - 25x + 10 is divided by another New

Here If the polynomial x^4 - 6x^3 + 16x^2 - 25x + 10 is divided by another update

Subject If the polynomial x^4 - 6x^3 + 16x^2 - 25x + 10 is divided by another update



Belum ada tanggapan untuk "Discussion X 4 6x 3 16x 2 25x 10 Trending"
Posting Komentar