
WebResistance of `0.2 M` solution of an electrolyte is `50 Omega`. The specific conductance of the solution is ` 1.3 S m^ (-1)`. If resistance of the `0.4 M` solution of the same electrolyte is `260... WebResistance of 0.2M solution of an electrolyte is 50 ohm . The specific conductance of the solution is 1.4 S m^-1 . The resistance of 0.5 M solution of the same electrolyte is 280. WebResistance of 02 M solution of an electrolyte is 50ΩThe | Resistance of 0.2 M solution of an electrolyte is 50 Ω .The specific conductance of the solution is 1.4 S m − 1 . The.
Resistance Of 0 2 M Solution Of An Electrolyte Is 50, Resistance of `0.2 M` solution of an electrolyte is `50 Omega`. The specific conductance of the, 5.15 MB, 03:45, 2,005, Doubtnut, 2020-01-19T06:41:45.000000Z, 19, Resistance of 0.2 M solution of an electrolyte is 50 ohm. The specific, www.doubtnut.com, 1200 x 677, png, , 20, resistance-of-0-2-m-solution-of-an-electrolyte-is-50, KAMPION
WebResistance of 0.2 M solution of an electrolyte is 50 W. The specific. conductance of the solution is 1.3 S. m-1. If resistance of the 0.4M. solution of the same. WebThe resistance of a 0.2 M solution of an electrolyte is 50 Ω. The specific conductance of the solution is 1.4 S m−1 . The resistance of a 0.5 M solution of the same electrolyte. WebToppr: Better learning for better results WebResistance of 0.2 M solution of an electrolyte is 50 ohm. The specific conductance of the solution is 1.4 S m-1. The resistance of 0.5 M solution of the same electrolyte is 280ohm.. WebResistance of 0.2 M solution of an electrolyte is 50 Ω. The specific conductance of the solution is 1.4 Sm 1. The resistance of 0.5 M solution of the same electrolyte is 280 Ω.. WebResistance of 0.2 M solution of an electrolyte is 50 ????. The specific conductance of the solution is 1.3 S m⁻¹. If resistance of the 0.4 M solution of the same. WebThe resistance of 0.2 M solution of an electrolyte is 50 Ω. The specific conductance of the solution of 0.5 M solution of the same electrolyte is 1.4 S m -1 and resistance of the same. WebResistance of ` 0.2 M` solution of an electrolue is ` 50 Omega`. The specific conductance of the solution is ` 1.4 S m^^(-1)`. The resistance of `0.5` M solu... WebThe resistance of 0.15M solution of an electrolyte is 50. The specific conductance of the solution is 2.4 Sm^-1 . The resistance of 0.5 N. asked Sep 3, 2020 in.
Here Resistance of `0.2 M` solution of an electrolyte is `50 Omega`. The specific conductance of the Latest
About Resistance of 0.2M solution of an electrolyte is 50Ω, The specific conductance of the solution is
Other descriptions of Resistance Of 0 2 M Solution Of An Electrolyte Is 50 updated for you
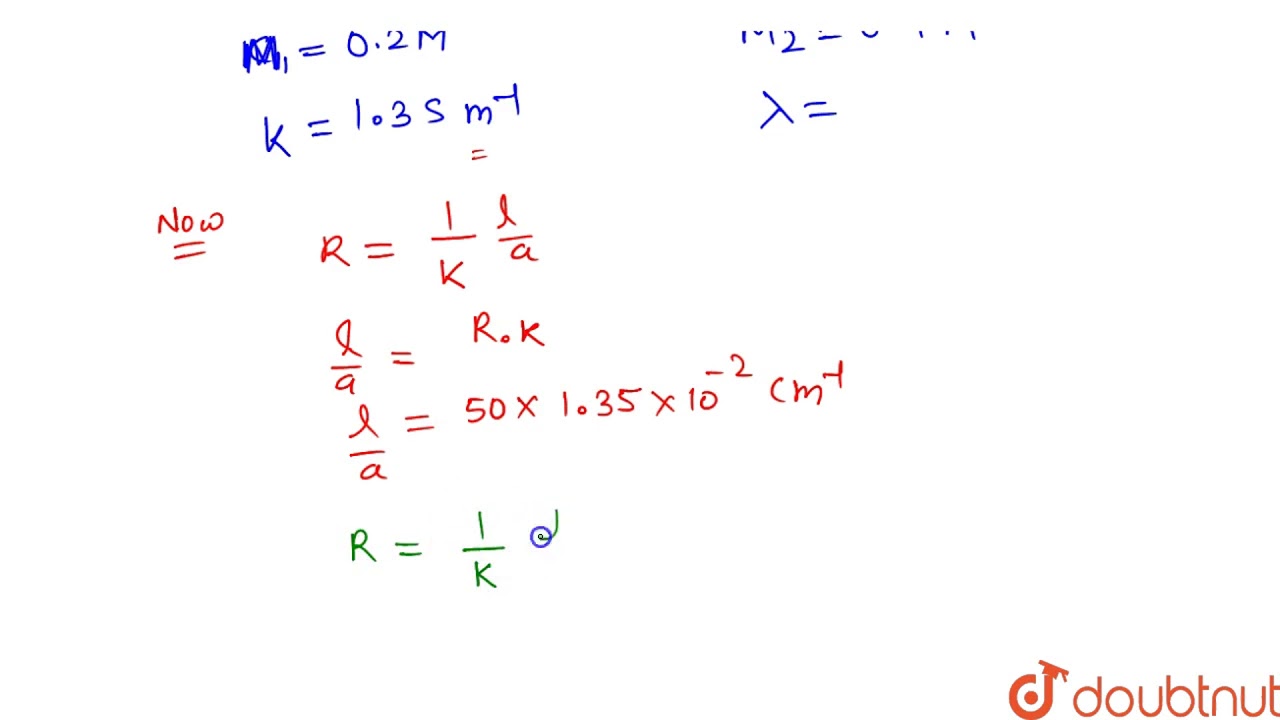
Resistance of `0.2 M` solution of an electrolyte is `50 Omega`. The specific conductance of the solution is ` 1.3 S m^(-1)`. If resistance of the `0.4 M` solution of the same electrolyte is `260 Omega`, its molar conductivity is .
Images Resistance of 0.2 M solution of an electrolyte is 50 ohm. The specific trending

Resistance of 0.2 M solution of an electrolyte is 50 ohm. The specific popular

Look Resistance of 0.2 M solution of an electrolyte is 50 Omega. The Latest

Let's see The measured resistance of a conductance cell containing 7.5xx10^(-3)M New

About Resistance of decimolar solution is 50 ohm. If electrodes of surface viral

Must see Resistance of a conductivity cell filled with a solution of an New

News बन्ना (4) बेन्जीन (3) Benzoicacid (4) Be... - Inorganic Chemistry trending

Images Resistance of 0.2M solution of an electrolyte is 50 ohm . The specific Latest

Subject A conductance cell was calibrated by filling it with a 0.02 M solution Latest

Resistance of decimolar solution is 50 ohm. If electrodes of surface



Belum ada tanggapan untuk "Subject Resistance Of 0 2 M Solution Of An Electrolyte Is 50 Trending"
Posting Komentar