
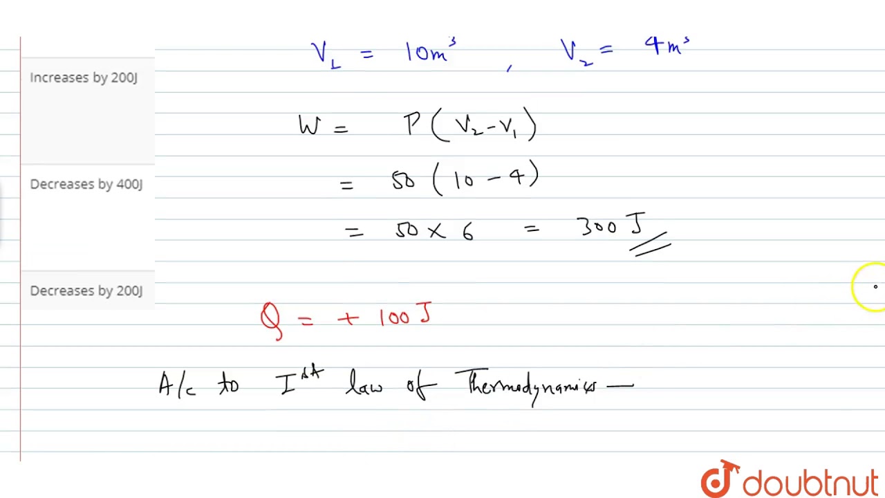
WebA gas is compressed at a constant pressure of $50 \mathrm{Nm}^{-2}$ from a volume of $10 \mathrm{~m}^{3}$ to a volume of $4 \mathrm{~m}^{3}$. Energy of $100 \mathrm{~J}$. WebIdeal Gases under Constant Volume, Constant Pressure, Constant Temperature, & Adiabatic Conditions. Note to the student: The following section is a reduction of college.
A Gas Is Compressed At A Constant Pressure Of 50, A gas is compressed at a constant pressure of `50N//m^(2)` from a volume `10m^(3)` to a volume, 3.73 MB, 02:43, 579, Doubtnut, 2020-02-16T06:15:42.000000Z, 19, A monoatomic gas is compressed at a constant pressure of 50 N|m2 from a, crippter.blogspot.com, 640 x 480, jpeg, monoatomic compressed gas m2 constant 10m3 pressure volume, 20, a-gas-is-compressed-at-a-constant-pressure-of-50, KAMPION
WebA gas with pressure of 50 atm is compressed at constant temperature from 10.0 L to 2.0 L. What is the pressure of the gas after it is compressed? Multiple Choice 4.0 atm O 10. WebAn ideal gas is compressed at a constant pressure of 1.3 atm from a volume of 20 L to 12 L. During this process it gives off 3.69 kJ of heat. What is the change in. WebA gas is compressed at a constant pressure of 50 N/m2 from a volume of 10 m3 to a volume of 4 m3. Heat of 100 J is then added to the gas by heating it at constant volume. Its. WebA gas is compressed at a constant pressure of 50 N/m2 from a volume of 10 m3 to a volume of 4 m3. Energy of 100 J is then added to the gas by heating. Its internal energy. WebAnswer to A gas is compressed at a constant pressure of 0.800 atm fr.... Essentials of College Physics (with CengageNOW 2-Semester and Personal Tutor Printed Access. WebIf a gas is compressed at constant pressure $50N/{m^2}$ from a volume of $10{m^3}$ to a volume $4{m^3}$. Energy $100J$ is then added to the gas by heating,. WebOne mole of an ideal monatomic gas at 300 K and 1 atm is compressed. adiabatically by application of a constant external pressure of 25 atm until mechanical. WebGas cylinder: Pressure = 200 bar or 20 MPa Cylinder volume 9.45 m3 or 9450 L Operating pressure of gas from cylinder = 4.5 bar or 0.45 MPa and flow rate = 60. WebInitially the gas is at 300K and occupies a volume of 2.4 × 1 0 − 3 m 3 and the spring is in its relaxed state as shown in figure. The gas is heated by a small heater until the piston.
Subject A gas is compressed at a constant pressure of `50N//m^(2)` from a volume `10m^(3)` to a volume
Let's see A gas is compressed at a constant pressure of \( 50 \mathrm{~N} / \...
Details A Gas Is Compressed At A Constant Pressure Of 50 from the video above
A gas is compressed at a constant pressure of `50N//m^(2)` from a volume `10m^(3)` to a volume of `4m^(3)`. 100J of heat is added to the gas then its internal energy is
About A monoatomic gas is compressed at a constant pressure of 50 N|m2 from a Latest

Here 13) A gas is compressed at a constant pressure of 50... - Physics

Must see A gas is compressed at a constant pressure of 50 N/m^2 from a volume of more

Currently - Solved An ideal gas is slowly compressed at a constant | Chegg.com viral

Watch PPT - Boyle’s Law PowerPoint Presentation, free download - ID:2873489 update

About Consider an ideal gas that occupies 2.50 dm3 at a pressure of 3.00 bar New

View A gas is compressed at constant pressure 50 N/m^2 from a volume of 0m^3 more
Must see Three moles of an ideal gas (CP = 7R2 ) at pressure PA and temperature Latest

About Chapter 11: Combustion (Updated 5/31/10) Latest
Articles SOLVED:Boyle's Law states that when a sample of gas is compressed at a



Belum ada tanggapan untuk "View A Gas Is Compressed At A Constant Pressure Of 50 Updated"
Posting Komentar