
Web`3/y + 9/x` = 11. Let `1/x` = a, `1/y` = b. 9a + 3b = 11 → (2) (1) × 3 ⇒ 9a + 18b = 21 → (3) (2) × 1 ⇒ 9a + 3b = −11 → (2) (3) – (2) ⇒ 15b = 10. b = `10/15 = 2/3` Substitute the value of b. WebSolve: 3 (2 x + y) = 7 x y; 3 (x + 3 y) = 1 1 x y using elimination method. Medium. Open in App. Solution. Verified by Toppr. Given: 3 (2 x + y) = 7 x y, 3 (x + 3 y) = 1 1 x y. Divide. WebSolve for x and y: 3(2x +y) = 7xy 3(x + 3y) = 11xy Get the answers you need, now! aummychotaliya aummychotaliya 16.05.2020 Math Secondary School answered. WebEl solucionador de problemas matemáticos gratuito responde a tus preguntas de tarea de álgebra, geometría, trigonometría, cálculo y estadística con explicaciones paso a paso,.
3 2x Y 7xy 3 X 3y 11xy, `2x + y = (7xy)/3, x+3y = (11xy)/3`, 3.64 MB, 02:39, 2,081, Doubtnut, 2018-10-11T09:41:32.000000Z, 19, 3(2x+y)=7xy;3(x+3y)=11xy - Brainly.in, brainly.in, 802 x 1406, jpeg, 7xy 3y, 20, 3-2x-y-7xy-3-x-3y-11xy, KAMPION
WebEn álgebra, una función cuadrática, un polinomio cuadrático, o un polinomio de grado 2, es una función polinómica con una o más variables en la que el término de grado más alto. Web(x + y) 10 = x 10 + 10x 9 y + 45x 8 y 2 + 120x 7 y 3 + 210x 6 y 4 + 252x 5 y 5 + 210x 4 y 6 + 120x 3 y 7 + 45x 2 y 8 + 10x y 9 + y 10 Un autre outil au hasard ? Outils du Moment. Web3(2x+y)=7xy 6x+3y=7xy→ eqn 1 3(x+3y)=11xy 3x+9y=11xy →eqn 2 multiplying equation 2 by 2 6x+18y=22xy subtracting equation 1 from 2 15y=11xy 15=11x. WebPour trouver x, il faut diviser 3x et 9 par 3, le coefficient devant le terme en x. 3x/3 = x et 3/3 = 1, ce qui vous laisse avec x = 1. 5. Vérifiez vos calculs. Pour vérifier que votre travail. WebTo ask Unlimited Maths doubts download Doubtnut from - https://goo.gl/9WZjCW `2x + y = (7xy)/3, x+3y = (11xy)/3` WebSolve your math problems using our free math solver with step-by-step solutions. Our math solver supports basic math, pre-algebra, algebra, trigonometry, calculus and more. WebDéfinition. On appelle valeur absolue d'un nombre réel x la distance entre x et 0. On la note ∣x∣. Soient a et b deux nombres réels. On appelle distance entre a et b le nombre ∣a− b∣.. WebRésolvez vos problèmes mathématiques avec notre outil de résolution de problèmes mathématiques gratuit qui fournit des solutions détaillées. Notre outil prend en charge les. WebSolve by Substitution x+y=7 , x-y=3, Step 1. Subtract from both sides of the equation. Step 2. Replace all occurrences of with in each equation. Tap for more steps... Step 2.1..
View `2x + y = (7xy)/3, x+3y = (11xy)/3` trending
Currently - Solve: 3 (2x+ y )= 7xy 3(x+ 3y )= 11xy , x ne 0 , y ne 0 | 9 | CHAPTERWISE REVISION (STAGE ... viral
Details from 3 2x Y 7xy 3 X 3y 11xy from the discussion earlier
To ask Unlimited Maths doubts download Doubtnut from - goo.gl/9WZjCW `2x + y = (7xy)/3, x+3y = (11xy)/3`
Let's see 3(2x+y)=7xy;3(x+3y)=11xy - Brainly.in viral

Currently - Solve for x and y: 6x+3y=7xy,3x+9y=11xy(x≠0,y≠0) - Brainly.in updated

3x +2y = 2xy 1/x + 2/y =7/6ans x =2 y =3 - Brainly.in trending

Subject Drag the tiles to the boxes to form correct pairs. Not all tiles will update

Articles for what the value of k,x+y=4 and 2x+ky=3 pair of linear equations has trending

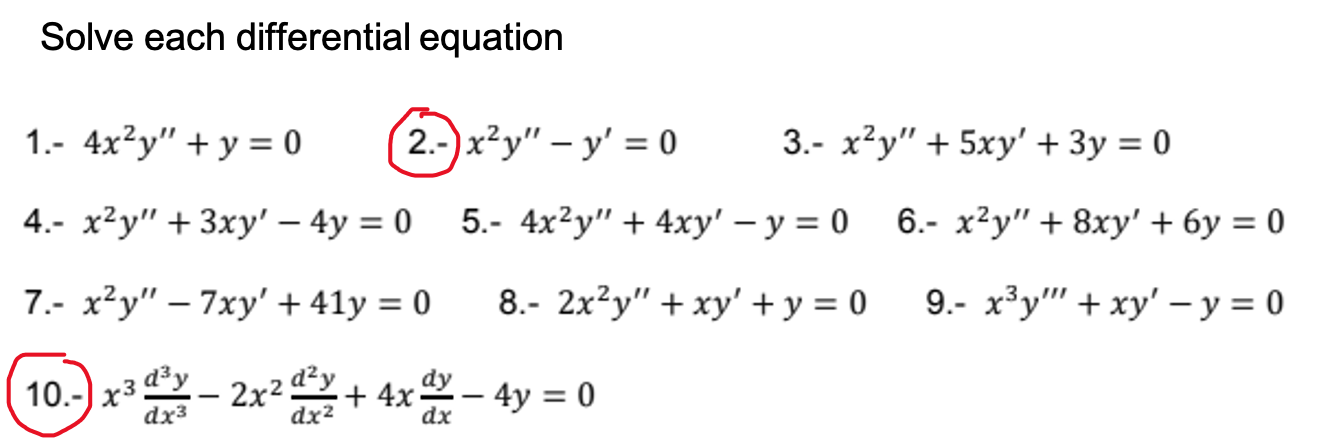
Solved Solve each differentialequation x^2y''-y'=0 x^3 d^3 | Chegg.com more
Look Solve for x and y: 6x+3y=7xy 3x+9y=11xy - Brainly.in going viral

Must see (i) -8xy from 7xy(ii) x2 from - 3x2(iii) (x - y) from (4y - 5x)(v) (x2 update

Must see Phân tích đa thức thành nhân tử: a) 14x^2y - 21xy^2 + 28x^2y^2. b) x(x Latest

Must see Samacheer Kalvi 9th Maths Solutions Chapter 3 Algebra Ex 3.12 popular



Belum ada tanggapan untuk "Photos 3 2x Y 7xy 3 X 3y 11xy Popular"
Posting Komentar