
WebAs pointed out below in the comments, the function $z^y$ is defined for the domain $z>0$, which is implicit. To see why, for example, $(-1)^{1/2} \ne (-1)^{2/4}$,. WebAccording to Distributive law [ (p+q) (p+r)=p+qr] => Y= (y+xz) (x'+z) => Y= y (x'+z)+xz (x'+z) => Y= x'y+yz+0+xz [since xz.x’=0] => Y= x'y+yz+xz. In order to simplify above, I am.
Xy Yz Zx Yx 3y Xz Xy Zy, Can you solve this Systems of Diophantine Equations 𝑥𝑦+𝑦𝑧=63 and 𝑥𝑧 + 𝑦𝑧 = 23, 4.88 MB, 03:33, 577, Learn Math Daily, 2022-05-21T21:25:17.000000Z, 19, Example 32 - Show that Determinant = 2xyz (x + y + z)^3 - Class 12, www.teachoo.com, 945 x 945, jpeg, determinant example examples det solving class, 20, xy-yz-zx-yx-3y-xz-xy-zy, KAMPION
WebProve that:x+y3+y+z3+z+x3 3x+yy+zz+x=x3+y3+z3 3 x y z. Login. Study Materials. NCERT Solutions. NCERT Solutions For Class 12. NCERT Solutions For Class 12 Physics;. Web你想知道的这里都有. 已解决问题:263,075,264 Web高校数学の因数分解なのですが x3 (y-z)+y3 (z-x)+z3 (x-y) この式の因数分解ができません... 回答お願いします ※x3=xの3乗という意味です あと、このような式の. Web(x-y)3 + (y-z)3 + (z-y)3 = 3(x-y)(y-z)(z-x) That is it no constraints etc. It mentions: "This can be done by expanding out the brackets, but there is a more elegant. WebClick here to see ALL problems on Exponents. Question 631629: (x+y+z)^3. Answer by lenny460 (1073) ( Show Source ): You can put this solution on YOUR website! (x+y+z)^3.. WebThe standard form of a linear equation is: (A)x+(B)y = (C) ... Stability of the unit interval under the binary operation x∗y = x +y −xy.. WebWe know the corollary: if a+b+c=0 then a 3+b 3+c 3=3abcUsing the above identity taking a=x−y, b=y−z and c=z−x, we have a+b+c=x−y+ y−z+z−x=0 then the equation (x−y). Web这个就是一个程序固定语句,他的意思是z=x>y?x:y;其中z是一个变量,接收x和y中的最大者,x>y是一个条件判断,判断x和y谁最大,如果x>y成立,那么就把x赋给z,. WebI am also wondering if this counts as the communicative boolean law . If you think about it, it has to be true: With (X + Y) (X' + Z) if X=true then (true + Y) (false + Z).
Latest Can you solve this Systems of Diophantine Equations 𝑥𝑦+𝑦𝑧=63 and 𝑥𝑧 + 𝑦𝑧 = 23 update
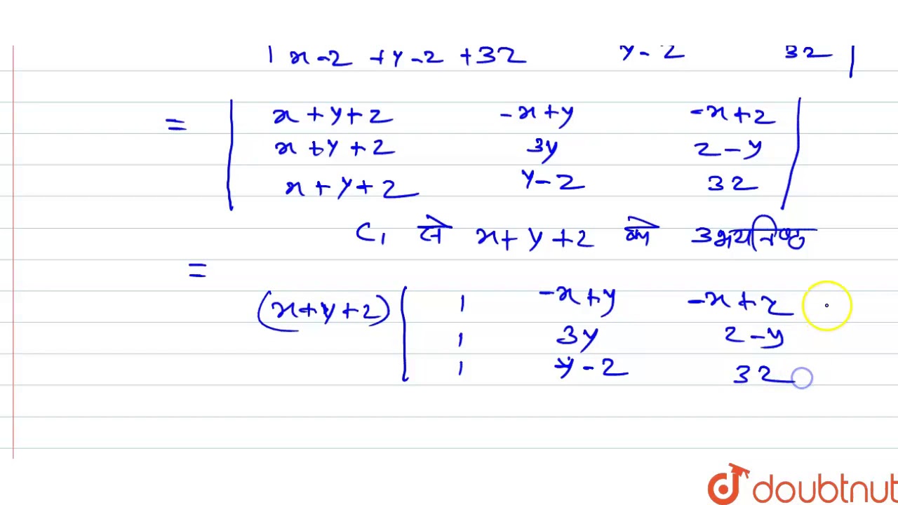
New सिद्ध कीजिए - `|(3k,-x+y,-x+z),(x-y,3y,z-y),(x-z,y-z,3z)|=3(x+y+z)(xy+yz+zx)`. more
Explanation Xy Yz Zx Yx 3y Xz Xy Zy
If you want to get a copy of the PowerPoint used in our videos, you can join our mailing list so that you can receive a copy every time we upload a new video. Here is how to do that
youtu.be/Q2CRFhj-8CU
Can you solve this Systems of Diophantine Equations? 𝑥𝑦+𝑦𝑧=63 and 𝑥𝑧 + 𝑦𝑧 = 23
#matholympiad
#algebra
#rolandoasisten
#learnmathdaily
#mathematics
#maths
Viral Example 32 - Show that Determinant = 2xyz (x + y + z)^3 - Class 12 Latest

About Why are the shear stress values the same in the xy = yx, xz = zx, yz update
Why are the shear stress values the same in the xy = yx, xz = zx, yz New
Latest inverse kinematics - Rotation matrix sign convention confusion more

Look Occlusal load transmission to bone via the periodontal attachment viral
Must see xy-[yz-zx-{yx-(3y-xz)-(xy-zy)}] - Brainly.in more
![Xy Yz Zx Yx 3y Xz Xy Zy xy-[yz-zx-{yx-(3y-xz)-(xy-zy)}] - Brainly.in](https://hi-static.z-dn.net/files/d06/dce0b1a01e620656992f7c282d6c2071.jpg)
Watch Find x, y, z if x = yz, y =zx and z= xy - YouTube trending

Viral If x + y + z = 0, show that x^3 + y^3 + z^3 = 3xyz (with Video) Latest

New 26 Prove that: (x + y) 3+ (y +z) 3 + (z +x) 3 - 3(x +y)(y+ z)(z+x more

Subject if x+y+z=1 xy+yz+zx= -1 and xyz= -1 find value of x^3 +y^3+z^3 - Brainly.in going viral



Belum ada tanggapan untuk "About Xy Yz Zx Yx 3y Xz Xy Zy Trending"
Posting Komentar