
WebIf a circle of constant radius 3 k passes through the origin ′ O ′ and meets co-ordinate axes at A and B then the locus of the centroid of the triangle O A B is- A x 2 + y 2 =. WebThis is the Solution of question from Cengage Publication Math Book Coordinate Geometry Chapter 6 CONIC SECTIONS written By G. Tewani. You can Find.
If A Circle Of Constant Radius 3k, If a circle of constant radius `3k` passes through the origin `O` and meets the coordinate axes, 7.94 MB, 05:47, 461, Doubtnut, 2020-06-28T07:59:36.000000Z, 19, If a circle of constant radius 3k passes through the origin O and meets, www.doubtnut.com, 1200 x 677, png, , 20, if-a-circle-of-constant-radius-3k, KAMPION
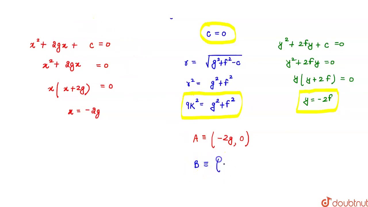
WebThen we will use the formula of radius to find the value of the variables. From there, we will find the locus of the centroid of the required triangle. Complete step. WebSolution For If a circle of constant radius 3k passes through the origin O and meets the coordinate axes at A and B, then the locus of the controid of triangle OAB is Solution For. WebIf a circle of constant radius 3k passes through the origin O and meets the coordinate axes at A and B, then the locus of the centroid of triangle OAB is (1) x² + y² = (2k)² (2) x² + y² =. WebIf a circle of constant radius 3K passes through the origin and meets the axes at A&B.the locus of the centroid of triangleOAB is If you are seeing this message, that means. WebHint: Consider the general equation of circle i.e. x 2 + y 2 + 2 g x + 2 f y + c = 0 as the equation of the circle of constant radius 3k and also use the formula of radius. WebIf a circle of constant radius 3k passes through the origin O and meets the coordinate axes at A and B, then the locus of the centroid of triangle OAB is Q. If a circle of. Web"If a circle of constant radius `3k` passes through the origin `O` and meets the coordinate axes at `Aa n dB` , then the locus of the centroud of triangle... Webif a circle of constant radius 3k passes through the origin meets the coordinate axes at a and b , then locus of the centroid of triangle oab is - maths - solution. Weblet centroid of circle is (l,m) then point A and B will be as shown in figure. and center of circle will be (3l/2 ,3m/2) so (3k)2 = (3l/2)2 + (3m/2)2. (2k)2 = (l)2 + (m)2. so.
Discussion If a circle of constant radius `3k` passes through the origin `O` and meets the coordinate axes viral
About If a circle of constant radius \( 3 \mathrm{k} \) passes through the origin \( \mathrm{O} \) a...
Other descriptions of If A Circle Of Constant Radius 3k Next
"If a circle of constant radius `3k`
passes through the origin `O`
and meets the coordinate axes at `Aa n dB`
, then the locus of the centroud of triangle `O A B`
is
(a)`x^2+y^2=(2k)^2`
(b)`x^2+y^2=(3k)^2`
(c)`x^2+y^2=(4k)^2`
(d) `x^2+y^2=(6k)^2`"
Discussion If a circle of constant radius 3k passes through the origin O and meets popular

Here If a circle of constant radius 3k passes through the origin 'O' and going viral

Watch If a circle of constant radius 3k passes through the origin 'O' and

Articles A particle travels with constant speed along a circle of radius `3 m popular

Must see [Expert Verified] find the length of the tangent drawn to a circle of updated
![If A Circle Of Constant Radius 3k [Expert Verified] find the length of the tangent drawn to a circle of](https://hi-static.z-dn.net/files/d0e/52a0ebf3f70d6ed4aea518b42409f169.jpg)
Subject A whistle S of frequency f revolves in a circle of radius R at a c trending

Currently - A particle moving the circumference of a circle of radius 'r' covers a update
Topics If a circle of constant radius 3k passes through the origin 'O' and

Subject A circle of constant radius 3 k passes through (0, 0) and cuts the axes New

Currently - A particle is moving with a constant speed v in a circle of radius R Latest



Belum ada tanggapan untuk "Reviews If A Circle Of Constant Radius 3k Trending"
Posting Komentar