
WebThe probability of getting at least one tail, assuming that the coin is a fair coin, would be the complement of the probability of getting heads every time. 10 times. The. WebThen there are 1024 entries in this list, representing the sample space of tossing a fair coin 10 times. Only one of these is 1100000000, representing two heads followed by 8 tails.. WebA fair coin is tossed repeatedly. The probability of getting a result in the fifth toss different from those obtained in the first four tosses is. Medium. View solution. A coin is tossed.
If A Fair Coin Is Tossed 10 Times, If a fair coin is tossed 10 times. find the probability of getting at most six heads, atleast 6 head, 11.01 MB, 08:01, 5,844, Anand Kaksha, 2022-03-14T18:14:26.000000Z, 19, Solved A fair coin is tossed 10 times. Let X be the | Chegg.com, www.chegg.com, 651 x 271, png, coin fair solved tossed let times transcribed problem text been, 20, if-a-fair-coin-is-tossed-10-times, KAMPION
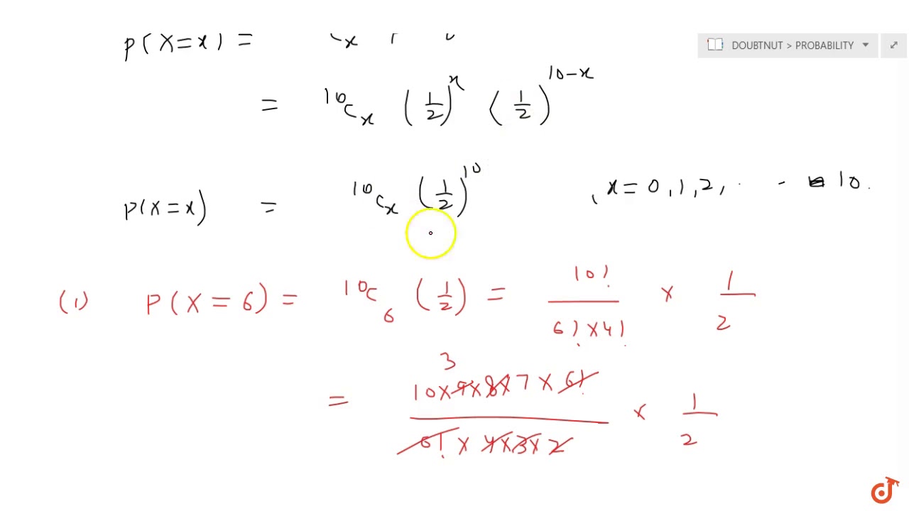
WebIf a fair coin is tossed $10$ times. Find the probability of a). Exactly $6$ headsb). At least $6$ headsc). At most $6$ heads. Ans: Hint: We will first assume the number heads. WebA fair coin is tossed 10 times. If the probability that heads never occur on consecutive tosses be `(m)/(n)` (where m, n are coprime and m, `n in N`), then t... A fair coin is tossed 10 times. WebIf a fair coin is tossed 10 times. Find the probability of appearing exactly four tails. ← Prev Question Next Question →. 0 votes . 15 views. asked Jan 25 in. WebBoth nCk and (n k) are ways of writing combination notation. They're equal to n! k!(n −k)!. -. Let X be the number of coin tosses out of 10 that land heads up. Then X is. WebA fair coin is tossed 10,000 times. A fair coin is tossed 10,000 times. Find a number m such that the chance of the number of heads being between 5, 000 − m and 5, 000 + m is. WebAnswer (1 of 4): The possible outcomes after flipping a fair coin fairly 10 times = 2^10 = 1024. The probability of getting at least 1 heads = 1- the probability of getting 0 tails = [1. WebA fair coin was tossed 10 times. Calculate the probability \( p \) that at most 4 of the 10 tosses are heads. Round the answers with (exactly) four decimal places. \[ p=\text {.. } \]. WebImagine a fair coin. Toss it 10 times and write down the number of heads. According to the central limit theorem, the number of heads in 10 tosses will follow a.
About If a fair coin is tossed 10 times. find the probability of getting at most six heads, atleast 6 head trending
If a fair coin is tossed 10 times, find the probability of (i) exactly six heads (ii) at least s... trending
More about If A Fair Coin Is Tossed 10 Times in full
#question #exam #probability
if a fair coin is tossed 10 times. find the probability of getting at most six heads, atleast six heads, exactly six heads.
.
.
Follow me on Instagram: bit.ly/33GMbBH
Connect with Facebook: bit.ly/3KEVjr0
Twitter: bit.ly/3nS50IM
Topics Solved A fair coin is tossed 10 times. Let X be the | Chegg.com more

View Example 31 - If a fair coin is tossed 10 times, find probability

News Solved A fair coin is tossed 10 times. Let a denote the | Chegg.com viral

Viral Solved Suppose a fair coin 10 is tossed times and you win W | Chegg.com trending

Solved 2 Fair Coin Toss A fair coin is tossed 10 times. Let | Chegg.com going viral

Reviews Solved Think about the following game: A fair coin is tossed | Chegg.com Latest

Topics If a fair of coin is tossed 10 times, find the probability of : (i

Let's see Example 31 - If a fair coin is tossed 10 times, find probability updated

Viral Example 31 - If a fair coin is tossed 10 times, find probability update

Discussion In an experiment of tossing a fair coin 10 times, then. A) Probability



Belum ada tanggapan untuk "Photos If A Fair Coin Is Tossed 10 Times References"
Posting Komentar