
WebQuestion 12:How much charge is required for the following reductions: (i) 1 mol of Al 3+ to Al. (ii) 1 mol of Cu 2+ to Cu. (iii) 1 mol of MnO 4– to Mn 2+. Answer:(i) Formula. WebHow much charge is required for the following reduction of (i) 1 mol of Al 3+ to Al (ii) 1 mol of Cu 2+ to Cu (iii) 1 mol of MnO 4 – to Mn 2+ (i) Al 3+ + 3e – → Al 1 mol Al 3+ for.
How Much Charge Is Required For The Following Reduction, How much Charge is required for the following reductions `:` `a. 1 mol of Al^(3+) to Al` `b.` ` ..., 6.36 MB, 04:38, 5,260, Doubtnut, 2019-09-24T08:02:49.000000Z, 19, How much charge is required for the following reductions: (i) 1 mol of, www.doubtnut.com, 1200 x 677, png, , 20, how-much-charge-is-required-for-the-following-reduction, KAMPION
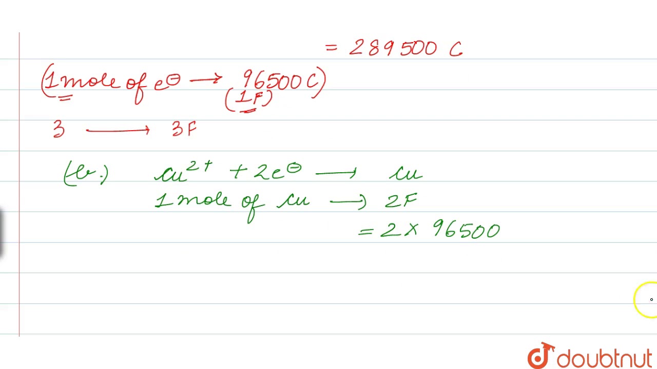
WebAnswer: Formula required charge n × F. n = difference of charge on ions. F is constant and equal to 96487 Coulombs. Here n = 3. Hence required charge = 3 ×. WebHow much charge is required for the following reduction of (i) 1 mol of Al3+ to Al (ii) 1 mol of Cu2+ to Cu (iii) 1 mol of MnO4– to Mn2+ from Chemistry Electrochemistry Class 12 CBSE. WebHow much charge is required for the following reductions:i 1 mol of Al 3+ to Al.ii 1 mol of Cu 2+ to Cu.iii 1 mol of MnO 4 to Mn 2+. Byju's Answer. Standard XII. WebHow much charge is required for the following reductions Q.12: How much charge is required for the following reductions: (i) 1 mol of Al 3+ to Al. (ii) 1 mol of Cu 2+. WebHow much charge is required for the following reductions: 1 mol of Al3+ to Al. Department of Pre-University Education, Karnataka PUC Karnataka Science Class 12. Textbook. WebMnO4-(aq) + 8H++5e- → Mn2+(aq) + 6H2O. 1 mol 5 moles 1 mol Formula required charge n × F n = difference of charge on ions F is constant and equal to 96487 Coulombs. WebCall Us 07019-243-492; All Courses. All Courses IIT JEE . CLASS 11; CLASS 12; Dropper; NEET . CLASS 11; CLASS 12 WebQuantity of charge required for reducing 1 mole Cu2+toCu = 2F =2×96500 C= 1.93×105C. (iii) 1 mole M nO− 4 to M n2+. Electrode reaction: M nO− 4 ox.no of Mn=7 1 mol +5e− 5. Web3.12 How much charge is required for the following reductions: (ii) Answers (1) The equation can be written as:- Thus charge required is . Posted by Devendra Khairwa. View full.
Look How much Charge is required for the following reductions `:` `a. 1 mol of Al^(3+) to Al` `b.` ` ...
Subject Electrochemistry / How much charge is required for the following reduction / NCERT exc. Q. 12
Explanation of How Much Charge Is Required For The Following Reduction from the discussion earlier
Question From - NCERT Chemistry Class 12 Chapter 03 Question – 027 ELECTROCHEMISTRY CBSE, RBSE, UP, MP, BIHAR BOARD
QUESTION TEXT:-
How much Charge is required for the following reductions `:` `a. 1 mol of Al^(3+) to Al` `b.` ` 1 mol of Cu^(2+) to Cu` `c.` `1 mol of MnO_(4)^(-)` to `Mn^(2+)?`
Doubtnut के साथ १००% मार्क्स पायें, आज ही डाउनलोड करें :-
doubtnut.app.link/91GzfmKxjP
OR ask your doubts on Whatsapp No --- 8400400400
Chemistry Solutions for Class 9, class 10, class 11, class 12 and IIT-JEE aspirants
Doubtnut provides Chemistry Solutions for Class 9, class 10, class 11, class 12 and IIT-JEE aspirants. The solutions are arranged chapter-wise and within each chapter they are arranged by topic-wise.
You can start learning with chapter-wise video tutorials of Chemistry books including NCERT Textbook of Chemistry, Cengage Chemistry, P Bahadur, A2Z Chemistry, Narendra Awasthi, MS Chouhan, Himanshu Pandey, Dinesh Companion Chemistry…
Physics: doubtnut.com/physics
Chemistry: doubtnut.com/chemistry
Biology: doubtnut.com/biology
Score 100% With Doubtnut
Prepare your class 12 Chemistry with our intuitive video solutions and score well in your final academic exam 2019-20.
Students can find instant video solutions on our renowned doubt solving app or even on our website by clicking the doubt question from their textbook of class 12 maths, physics, chemistry, biology.
The video tutorials are helpful in preparation for the entrance exams like IIT JEE Main and Advanced, and NEET exam. Students can resolve their doubts with self-explanatory video solutions of questions from popular books of Maths, Chemistry, and Biology are solved for easy and swift learning.
Student can prepare for IIT JEE at doubtnut.com/iit-solutions
Student can prepare for NEET at doubtnut.com/exams/neet
Doubtnut app provides free online video solutions that help students to understand each topic and retain what they have learnt for a longer duration. It further helps in creating a stronger foundation for future classes.
Subscribe to our YouTube channel to receive notifications of live classes and latest videos on various topics from subjects like – Maths, Physics, Chemistry, Biology etc. for Board exams & higher studies.
Doubtnut ऍप पर आप कक्षा ६ से १२ (IIT JEE तक) के NCERT के गणित/
भौतिक विज्ञान/रसायन विज्ञान/जीव विज्ञान/ के सभी सवालों के वीडियो देखिये और मुफ्त में खोजिये सवाल
का जवाब - 5 लाख से भी ज़्यादा सवालों के जवाब हैं Doubtnut ऍप पर
Doubtnut App and website has video solutions of all the NCERT questions from Class 6 to 12. You can download the NCERT solutions in pdf format as well.
You can also ask any question related to Math, Physics, Chemistry, Biology and get a video solution for FREE from a library of more than 5 Lakh Videos
Follow Us On Facebook
facebook.com/doubtnut
Articles How much charge is required for the following reductions: (i) 1 mol of Latest

About How much charge is required for the following reductions?(i) 1 mol of update

About How much charge is required for the reduction of 1 mole of Zn^2 + to Zn.

Currently - 55. How much charge is required for the reduction of 1 molecular of
News How much charge is required for the following reductions: (i) 1 mol of popular

Discussion How much charge is required for the following reaction? (i) 1mol of Al Latest

Must see Important Questions for CBSE Class 12 Chemistry - Electrochemistry going viral

State Faraday's first law of electrolysis. How much charge in terms of trending

How much charge in faraday is required for the reduction of 1 mole of New



Belum ada tanggapan untuk "Articles How Much Charge Is Required For The Following Reduction Popular"
Posting Komentar