WebOn a toujours besoin d'une fiche avec l'ensemble des formules, et c'est pourquoi nous vous avons préparé un rappel complet sur les formulaires de trigonométrie, avec au. WebTo ask Unlimited Maths doubts download Doubtnut from - https://goo.gl/9WZjCW Show that `2(sin^6x+cos^6x)-3(sin^4x+cos^4x)+1=0` Websin4x+cos4x = (sin2x+cos2x)2 −2sin2xcos2x =1− 1 2sin22x sin6x+cos6x = (sin2x+cos2x)3 −3sin2xcos2x(sin2x+cos2x) =1− 3 4sin22x sin 4 x + cos 4 x = ( sin 2 x + cos 2 x) 2 − 2.
2 Sin 6x Cos 6x 3 Sin 4x Cos 4x, Prove that : 2(sin^6x+cos^6x)-3(sin^4x+cos^4x)+1=0, 10.28 MB, 07:29, 1,733, Ford Tech, 2021-03-02T11:24:42.000000Z, 19, 2(sin^6x + cos^6x) - 3(sin^4x + cos^4x) + 1 - Sarthaks eConnect, www.sarthaks.com, 600 x 293, jpeg, cos 4x sin 6x sarthaks solution, 20, 2-sin-6x-cos-6x-3-sin-4x-cos-4x, KAMPION
Websin4x+ cos4x = (sin2x +cos2x)2 − 2sin2xcos2x = 1−2sin2xcos2x sin6x+ cos6x = (sin2x +cos2x)3 −3sin2xcos2x(sin2x +cos2x) = 1−3sin2xcos2x Thus your expression ... Web2(sin^6x+cos^6)-3(sin^4x+cos^4x)=2(1-3sin^2xcos^2x)-3(1--2sin^2xcos^2x) =-1 本回答由提问者推荐 . 已赞过 已踩过. 你对这个回答的评价是? 评论 收起. 为你推荐: 特别推荐. 哪. WebSimplifying ( sin 6 x + cos 6 x) − ( sin 4 x + cos 4 x) + sin 2 x cos 2 x. Ask Question. Asked 4 years ago. Modified 4 years ago. Viewed 959 times. 0. ( sin 6 x + cos. Webcos 6x + cos 4x + cos 2x = 0 (1) Use trig identity: #cos (a + b) = cos ((a + b)/2)cos ((a - b)/2)# We have: cos 6x + cos 2x = 2cos 4xcos 2x Equation (1) becomes:. WebLet y = − 2 (sin 6 x + cos 6 x) + 3 (sin 4 x + cos 4 x) We know that (sin 2 x + cos 2 x) = 1. a 2 + b 2 = (a + b) 2 − 2 a b a n d a 3 + b 3 = (a + b) 3 − 3 a b (a + b) Using these results. WebAnswer: Step-by-step explanation: sin^2A+cos^2A=1. 2)1-sin^2A=cos^2A. 3)1-cos^2A=sin^2A. =2 (sin^6A+cos^6A)-3 (sin^4A+cos^4A)+1. =2sin^6A+2cos^6A. WebBiểu thức A = 3(sin 4 x + cos 4 x) - 2 (sin 6 x + cos 6 x) có giá trị bằng: A. 1. Đáp án chính xác. B. 2. C. -1. D. 0. Xem lời giải. Câu hỏi trong đề: 100 câu trắc nghiệm Tích vô hướng. WebSolved Sin 2x - Sin 4x + Sin 6x Cos 2x - Cos 4x + Cos 6x (A) | Chegg.com. Bagaimana cara membuktikan bahwa cos^2(2x) -cos^2(6x) =sin(8x)-sin(4x) - Quora..
Videos Prove that : 2(sin^6x+cos^6x)-3(sin^4x+cos^4x)+1=0 popular
Subject Show that `2(sin^6x+cos^6x)-3(sin^4x+cos^4x)+1=0` update
Other descriptions of 2 Sin 6x Cos 6x 3 Sin 4x Cos 4x Next
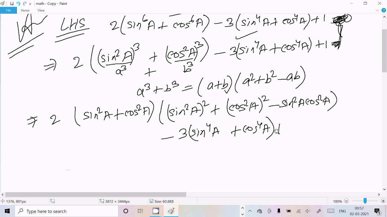
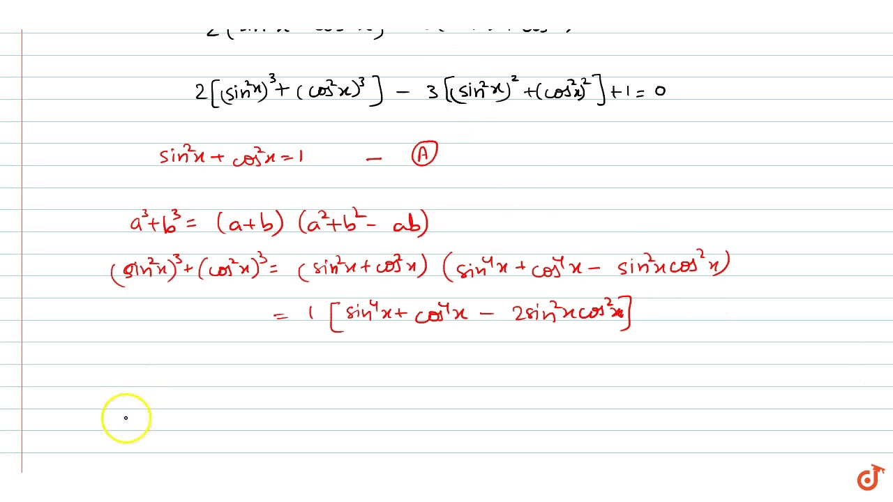
2(sin^6x+cos^6x)-3(sin^4x+cos^4x)+1=0
2(𝑠𝑖𝑛6𝑥+𝑐𝑜𝑠6𝑥)−3(𝑠𝑖𝑛4𝑥+𝑐𝑜𝑠4𝑥)+1=0
Show That 2(sin6x+cos6x)-3(sin4x+cos4x)+1=0
About 2(sin^6x + cos^6x) - 3(sin^4x + cos^4x) + 1 - Sarthaks eConnect more
View 2(sin^6x+cos^6x)-3(sin^4x+cos^4x)+1=0 - YouTube trending

Ex 3.3, 14 - Prove that sin 2x + 2sin 4x + sin 6x = 4cos2 x trending

About Ex 7.3, 3 - Integrate cos 2x cos 4x cos 6x - Ex 7.3 more

About Ex 3.3, 13 - Prove that cos2 2x - cos2 6x = sin4x sin8x trending

News Prove that : 2(sin^6x+cos^6x)-3(sin^4x+cos^4x)+1=0 - YouTube update

Look Lesson 9 transcendental functions

About 求sin^4x和sin^6x的不定积分。_百度知道 updated

Latest Презентация на тему: "Обобщающий урок. ФОРМУЛЫ ДЛЯ РЕШЕНИЯ ПРОСТЕЙШИХ Latest
Currently - Example 23 - Solve sin 2x - sin 4x + sin 6x = 0 - Chapter 3



Belum ada tanggapan untuk "About 2 Sin 6x Cos 6x 3 Sin 4x Cos 4x References"
Posting Komentar